上海錾科自动化科技有限公司——流量自动化仪表供应商。 联系电话:18001874240
语言选择: English

当前位置:网站首页> 常见问题

什么是明渠流量计,详情介绍请看这里

时间:2019-11-09 01:11:04 点击:0
明渠流量测量中使用的主要设备是堰和水槽。 与通过封闭通道的流量不同,流量水平的高度是相对于开放通道流量进行测量的。

明渠流量计工作原理:

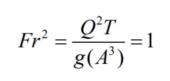
液体流动基于能量原理。 两种能量控制开放通道中的流量,即全局能量和特定能量。 根据比能量原理,当弗洛德数(Fr)等于1时,将出现最小能量。
Q =流量
A =截面积
T =流的顶部宽度
g =重力加速度
最小能量的这种条件还产生称为临界流的特定流。从等式1中可以看出,当发生临界流量时,可以通过流量的横截面积和上部宽度来计算流量(Q)。为了准确测量明渠中的流量,有必要创建一个临界流量条件,该条件允许仅通过测量流量深度(生成T和A的值)来测量流量。
如何测量明渠流量?
要测量明渠的流量,我们必须使流量穿过障碍物。流量是从此障碍物(堰和水槽)测得的。一种用于测量流量的特殊方法是使用除皮托管以外的电流表,并使用浮子进行测量。
流动液体的高度是使用任何液位计(例如超声波液位计)测量的:
超声波传感器将声音信号发送到流道,并测量回声返回的经过时间。 传感器上的控制器根据使用的障碍物(堰和水槽)计算流量。
明渠流量测量设备:
明渠流量测量中使用的主要设备是堰和水槽
威尔斯:
堰是大坝或水库上部的开口,可允许液体流动并进行流量测量。 在已知的垃圾填埋场特征下,流量通常取决于堰中液体的高度。
有矩形和V型槽堰
优点:
操作简单。
良好的可调范围(用于检测高流量和低流量)。
缺点:
压力损失。
准确度约为2%。
明渠流量计是什么东东?的内容就是以上这些了,如果您还有别的疑问或者是选购需求,请直接联系zan錾科工作人员详询。