上海錾科自动化科技有限公司——流量自动化仪表供应商。 联系电话:18001874240
语言选择: English

当前位置:网站首页> 新闻资讯

科里奥利质量流量计如何测量密度?

时间:2019-10-24 01:10:14 点击:0
科里奥利质量流量计也能够给出流动流体的密度,其工作原理与弹簧和质量组件的原理相同,如下图所示。

科里奥利质量流量计

当悬吊的物体被拉下并释放时,它会上下移动,其运动既受弹簧驱动又受弹簧的限制,直到减振为止。每单位时间的完整振荡次数称为振荡频率。
只要附着在弹簧上的物体的质量保持不变,则每当物体被拉动和释放时,系统就会稳定在相同的频率上,直到运动受到抑制。这称为系统的固有频率。
如果质量改变,则系统的固有频率改变;如果质量改变,则系统的固有频率改变。
如果质量增加,则固有频率降低;重量和弹簧每单位时间产生的振动更少。
如果质量减小,则固有频率增大;如果质量减小,则固有频率增大。重量和弹簧每单位时间产生更多的振荡。
振荡频率与质量的平方根成反比。
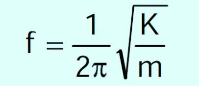
确切的关系用公式表示;
其中:
f =频率
m =管的质量
K =代表弹簧响应的常数
在科里奥利质量流量计中,振荡管对应于弹簧,管的质量加上其内容物的质量对应于弹簧组件的质量。振荡流量管的驱动线圈通过反馈电路定期通电,因此流量管始终以其固有频率振荡。
密度与频率的平方成反比。
方程是;
其中;
f =频率
m =管的质量
V =管的体积
K =代表弹簧响应的常数
由于管的体积和质量以及弹簧常数不变,因此可以从安装在科里奥利流量管上的传感器的振荡频率中得出流体的密度。
以上即是科里奥利质量流量计如何测量密度?的全部内容了,如果您还有别的方面的疑问或者是选购需求,请联系錾科工作人员咨询哦。